
不同检测平台,结论为何南辕北辙?
同一样本前后测试,结果CV大得离谱?
检测结果与临床不符?(典型项目:TSH,T3,T4, cTnT等)
这些问题的“真凶”,很可能就是游离生物素(Free-Biotin)的干扰,导致检测结果不可靠。
别慌!今天我们先从“检测黄金搭档”—生物素-链霉亲和素系统(Streptavidin-Biotin System, SA-Biotin)说起,再为大家安利一款有效解决游离生物素干扰的升级款工具,效率直接翻倍~
一
SA-Biotin系统的“双刃剑”
生物素(Biotin)与链霉亲和素(Streptavidin, SA)具有超高亲和力和特异性,1个SA分子可结合多达4个Bio分子。基于此特性,SA-Biotin系统在免疫检测中被广泛应用:
a.作为信号放大工具(Signal Amplification Fundament),显著提升检测灵敏度;
b.作为长臂桥接元件(Long-arm bridging element),用于连接抗原/抗体与固相(如磁珠、ELISA板)或标记物(HRP、ALP、钌、吖啶酯等),提高反应效率。
然而,SA-Biotin系统无法区分样本中的游离生物素与试剂中抗原/抗体标记的生物素(偶联态生物素)。当游离生物素部分结合SA时,就可能导致检测体系失真,从而埋下“隐形雷”。
二
游离生物素的主要来源
1)日常膳食:通常使血液Biotin浓度升高<1ng/mL,不会对检测产生干扰;
2)营养保健品:如减肥/健身类补剂,部分可使血液Biotin浓度飙升至500ng/mL,显著干扰SA-Biotin检测系统;
3)药物治疗:如多发性硬化症(MS)治疗,血液Biotin浓度可超1000ng/mL,必然对SA-Biotin检测系统造成严重干扰。
三
突破瓶颈:同仁心推出“仅识别偶联态生物素的抗体”
在免疫检测中,游离生物素(Free-Biotin)干扰一直是全球难题。
Roche在2017-2018年已公开其Elecsys系统可耐受20~50ng/mL游离生物素,后续部分项目提升至500~800ng/mL,至2023年,部分试剂(如sFlt-1/ PlGF)可达1200~1300ng/mL。
传统方案如改造SA、优化Biotin/SA用量、加入游离生物素抗体或采血前限制,往往面临研发周期长、成本高、交叉反应风险大等问题,临床应用受限。
针对这一难题,同仁心率先推出 “仅识别偶联态生物素的抗体”—脱硫生物素抗体(Desthiobiotin Ab, DTB Ab)。该抗体可直接替代SA-Biotin系统中的SA,从根源上规避游离生物素干扰,同时保持成本可控,为临床检测提供更加稳定、可靠的解决方案。
四
脱硫生物素抗体的三大性能优势
同仁心脱硫生物素抗体(Desthiobiotin Ab, DTB Ab)仅识别偶联态生物素,为免疫检测行业带来全新解决思路,具有以下性能优势:
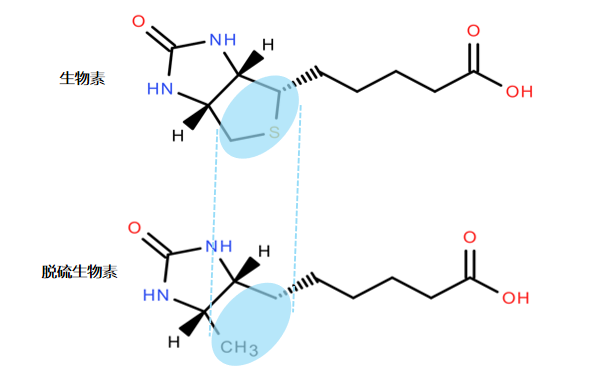
1.精准识别偶联态生物
脱硫生物素(Desthiobiotin)与生物素(Biotin)在结构上存在细微差异(噻唑烷环是否闭合,硫原子是否存在)。结合杂交瘤抗体负向筛选机制,能够有效获得特异性识别偶联态生物素的抗体,而不识别天然/游离生物素。实验数据显示,同仁心DTB Ab对游离生物素的交叉反应率低于3%。
注:人体自然代谢不会产生脱硫生物素。
2.高亲和力兔源单抗平台
相较于传统小鼠单抗,兔源单克隆抗体具有更高亲和力和更丰富的抗原表位识别能力。通过先进的免疫与筛选技术获得的兔单抗,在结合强度、特异性和稳定性上均显著优于鼠单抗。同仁心在DTB Ab研发中采用高亲和力兔单抗平台,最大程度降低Free-Biotin的非特异性结合。
3.CHO稳定细胞株构建
通过重组表达和多轮驯化,建立高效、稳定的CHO细胞株,确保工业化生产的稳定性、供应性可持续和成本可控性。这为新一代“脱硫生物素抗体-偶联态生物素系统”(DTB Ab-Biotin System)的应用奠定了坚实基础。
五
核心优势:性能显著超越SA
在吖啶酯化学发光免疫分析平台(AE 平台)HBsAb 项目中,对比同仁心DTB Ab与进口/国产主流SA的表现(抗干扰力、活性、信噪比、热稳定性、批次一致性):
1.抗干扰力
同仁心“DTB Ab-Biotin”系统在Free-Biotin浓度高达2000ng/mL时,信号才出现轻微下降;而传统的SA-Biotin系统在Free-Biotin浓度仅2ng/mL时,信号即快速下降。由实验结果可知,同仁心DTB Ab抗Free-Biotin干扰能力提升约1000倍。
2. 活性 & 信噪比
同仁心DTB Ab活性较进口主流SA高出50%,较国产主流SA高出90%;信噪比表现同样突出,较进口主流SA提升20%、较国产主流SA提升76%,为高灵敏度检测提供有力支撑。
3.热稳定性
在热稳定性测试中,同仁心DTB Ab于在37℃静置6天后,各浓度点变化幅度均<10%,显著优于行业普遍标准,这一表现保障了检测结果的稳定可靠。
4.批次稳定
传统杂交瘤工艺制备的抗体,批次间活性差异通常>15%。同仁心采用CHO稳转株表达,结合Protein A亲和纯化工艺,基因序列全程稳定可控;同仁心CHO稳转株产品实测3批,信号差异最大仅7%,完全符合工业化生产对一致性的要求。
同仁心产品推荐
同仁心脱硫生物素抗体(DTB Ab, 货号TY247),不仅能显著降低检测背景干扰,还可有效提升检测灵敏度与结果重复性。其应用范围包括:亲和纯化、蛋白质组学研究、细胞分选及诊断技术开发四大核心场景。
此外,同仁心还同步推出脱硫生物素磁珠产品,为客户提供更便捷的使用体验。
邮政编码:200052 电话:021-63800152 传真:021-63800151 京ICP备15010734号-10 技术:网至普网站建设