
AI血检破局无创筛查
EB病毒破译预后密码
一种只需常规抽血即可筛查致命眼内肿瘤——原发性玻璃体视网膜淋巴瘤(PVRL)的技术终于问世,让原本依赖高风险眼内手术才能确诊的患者迎来转机。复旦大学附属华山医院关明教授团队联合多家单位,在国际期刊刊连发两项重磅研究:不仅构建了全球首个基于血常规的AI筛查模型,更首次揭示EB病毒(EBV)感染是导致患者预后不良的关键风险因素,为该病的早筛与精准诊疗提供了全新方案。
“伪装高手”遇克星
六项血常规指标让眼内淋巴瘤无处遁形
被称为“伪装高手”的PVRL,常被误诊为慢性葡萄膜炎,致使患者平均延误诊断长达数月甚至数年。一旦确诊延迟,肿瘤不仅会永久性摧毁视力,更易向大脑蔓延,进展为致命脑瘤。然而,传统的玻璃体穿刺活检风险高、假阴性率也高,让无数患者身陷诊断困境。正是这一临床痛点,催生了团队对无创诊断技术的探索。
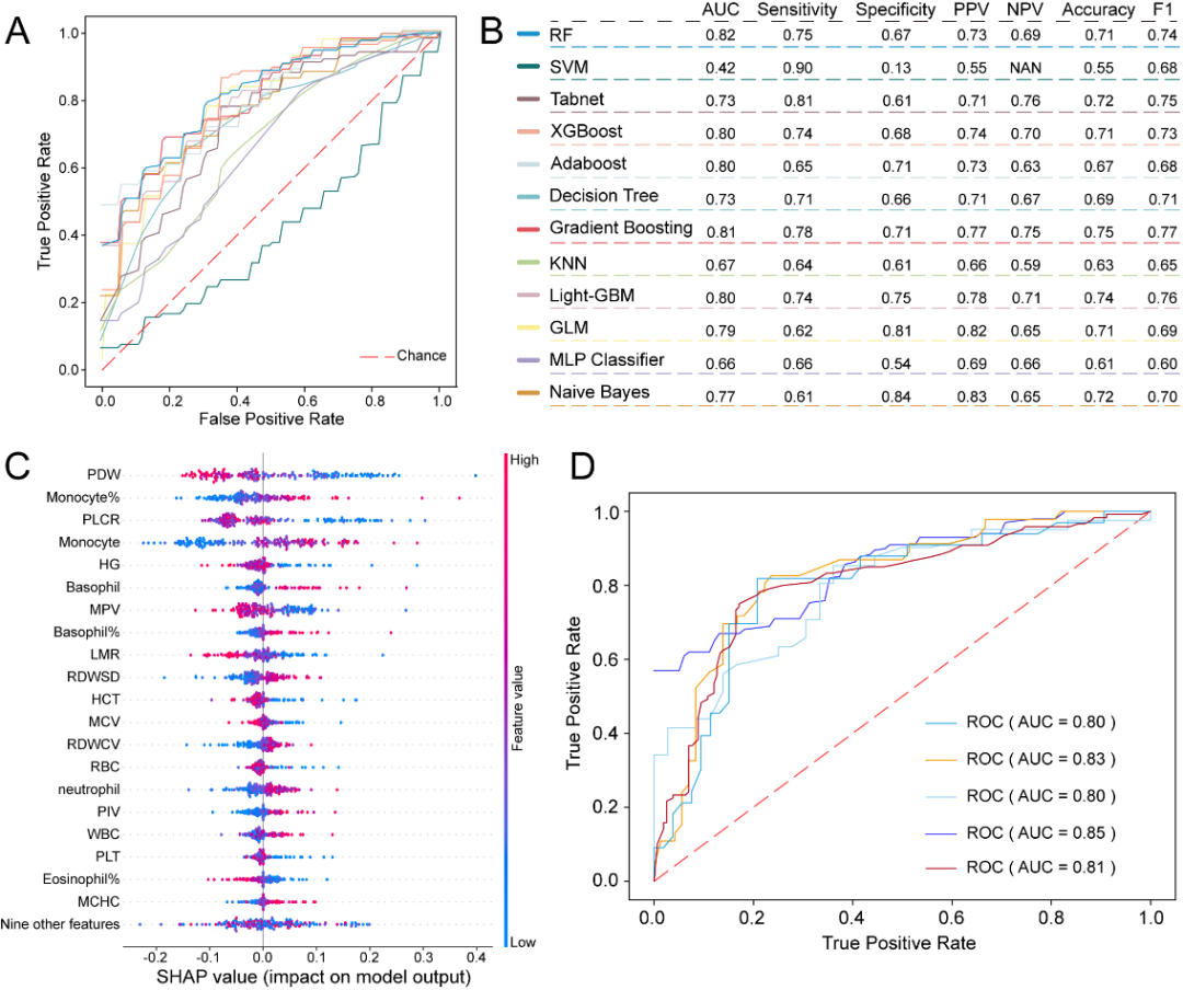
关明教授团队、复旦大学附属眼耳鼻喉科医院曹文俊教授团队联合全国多家医疗中心,纳入255例PVRL患者与292名对照者,创新性地利用血常规检测数据,结合随机森林机器学习算法,开发出PVRL无创筛查模型。该模型筛选出血小板分布宽度(PDW)、单核细胞百分比、大血小板比例(PLCR)、单核细胞计数、血红蛋白(HG)、嗜碱性粒细胞计数六个关键指标,在独立验证中表现出稳健的诊断效能(AUC 0.80–0.83),显著优于传统的IL-10/IL-6比值检测(AUC 0.65–0.78)。
https://doi.org/10.1038/s41467-025-65693-0
PVRL筛查模型的构建过程及诊断效能
更令人振奋的是,在前瞻性临床验证中,该模型灵敏度高达95.0%,特异度达99.97%。在社区人群队列中,模型识别出的高风险个体中有近六成最终被确诊,显示出极强的基层推广潜力。
从筛查到预后
EB病毒成为疗效“警示灯”
在解决早期诊断难题的同时,关明教授团队联合清华大学郭永教授团队,进一步深入探索影响患者预后的分子机制。通过对53例患者玻璃体液样本进行高精度微滴数字PCR检测,研究发现约28%的PVRL患者为EBV阳性。生存分析显示,EBV阳性患者的无进展生存期显著缩短,证明EBV感染是独立的不良预后因素。
团队还对病毒进行了全基因组测序,发现PVRL来源的EBV毒株在进化树上形成独特分支,并鉴定出LMP1蛋白S229T、BPLF1蛋白G2248R等一批PVRL特有基因突变。这些突变在其它淋巴瘤类型中极为罕见,为开发特异性分子诊断标记和靶向治疗提供了全新线索。
DOI: 10.1016/j.virs.2025.09.007
VRL患者玻璃体液样本中EBV感染率
EBV阳性与EBV阴性VRL患者的生存分析
○ 转化应用○
AI评估平台对接社区,构建诊疗新范式
为实现技术落地,研究团队已着手研发基于网页的AI风险评估系统。医务人员或居民输入常规血常规参数,即可实时获得个体化风险评估报告。该平台未来有望与社区医院、体检中心系统对接,构建“社区初筛-精准诊断-预后评估”的全流程诊疗体系。课题组希望通过人工智能赋能常规检验,让致命眼瘤无处遁形,更希望通过对EB病毒的深入研究,为患者提供更精准的预后判断和治疗选择。
邮政编码:200052 电话:021-63800152 传真:021-63800151 京ICP备15010734号-10 技术:网至普网站建设